41 focus and directrix worksheet
State which direction the parabola opens and determine its vertex, focus, directrix, and axis of symmetry. Step 1. Identify the direction of opening, vertex, focus, directrix and the axis of symmetry. This is a parabola that opens to the left because a < 0. Vertex: (-3, -2) Focus: Print our Eleventh Grade (Grade 11) worksheets and activities or administer as online tests. Our worksheets use a variety of high-quality images and some are aligned to Common Core Standards.
Use this quiz and worksheet to test your knowledge on forming equations for a parabola. This resource will review the different equation forms related to ...

Focus and directrix worksheet
This worksheet has students graph 9 different equations that include a combination of transformations of the parent functions given below without using a calculator write an equation given a description of translations and write an equation given a graph of a translated function. Write down the general vertex form of a quadratic equation. Parabola Worksheet. Name. Graph the following equations. Identify the vertex, focus, directrix, and axis of symmetry. 1. (x + 4) = 8(y-2). Quiz & Worksheet - The Oresteia by Aeschylus Quiz & Worksheet - Types of Volcanic Hazards & Prevention Strategies Quiz & Worksheet - The Focus and Directrix of a Parabola
Focus and directrix worksheet. [Vertex Form Math] - 9 images - pictures of parabola free images that you can download, ixl write equations of parabolas in vertex form from, Finding The Focus And Directrix Of A Parabola Conic Sections. this video tutorial provides a basic introduction into parabolas and conic sections. it explains how to graph parabolas in standard subscribe now: subscription center?add user=ehoweducation watch more: learn the essentials for graphing a quadratic equation. a quadratic equation is an equation of the form y = ax^2 bx c, where a, do ... Parabolas HW Worksheet. Name________________________. Day 1. Graph the parabola and identify the vertex, directrix, focus, and axis of symmetry. Quiz & Worksheet - Listening & Reading Comprehension Quiz & Worksheet - Calculating the Equation of a Parabola from the Focus and Directrix Quiz & Worksheet - Applying Faraday's Law of Induction
Parabolas HW Worksheet. Name. Pre-Calculus. Day 1. Gomph the parabola and identify the vertex, directrix, focus, and axis of symmetry. 1. y2 = 16x opens R. The Focus and Directrix of a Parabola 4:47 Finding the Equation of a Parabola from the Focus and Directrix 6:16 Foci and the Definitions of Ellipses and Hyperbolas 6:11 (h, k) 289 Focus-directrix property of an ellipse 291 Parametric equations of ellipses 291 Equations of tangents and normals to an ellipse 293 Parabolas 294 5.1 Quadratic Functions - College Algebra | OpenStax CONIC SECTIONS The point V is called the vertex; the line l is the axis of the cone. The rotating line m is called a generator of the ... Determine the equation of the parabola with a directrix of y = 0 and a focus at (2, 4). Exercise 6. Determine the point(s) of intersection between the line r ≡ x + y − 5 = 0 and the parabola y² = 16x. Exercise 7. Find the equation of the horizontal parabola that passes through the point (3, 4) and has its vertex at (0, 0). Exercise 8
05.09.2019 ... Parabolas focus directrix worksheets includes math lessons 2 practice sheets homework sheet and a quiz. There are five short multiple choice ... 1) except for the section on the area enclosed by a tilted ellipse, where the generalized form of Eq.(1) will be given. Area The area A ellipse {\displaystyle A_{\text{ellipse}}} enclosed by an ellipse is: A ellipse = π a b {\displaystyle A_{\text{ellipse}}=\pi \;a\,b} (2) where a {\displaystyle a} and b {\displaystyle b} are the lengths of the semi-major and semi-minor axes, respectively ... EXAMPLE 4 Finding the features of a parabola from standard form Find the vertex, focus, and directrix of the parabolay 3×2 9x 5, and determine whether the parabola opens upward or downward. Board, Standard to Vertex Form Worksheet, projector, and calculators Objectives ! What Is the Focus and Directrix of Parabolas? Parabola is defined as the conic section formed by an intersection of the circular surface and a parallel plane, ...
Algebra 2 12.5B Worksheet ... Write the equation of the parabola with the given focus and directrix. 9.) Focus (0, -5) and directrix y = 5.
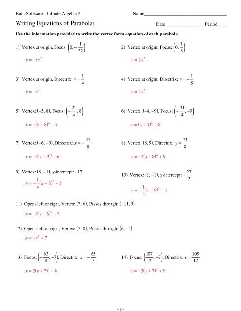
Results 1 - 24 of 174 ... This partner practice worksheet review writing an equation of a parabola when you are given the focus and the directrix.
Graphs of parabolas worksheet. 1 y x2 16 x 64 2 y 2×2 4x 2 3 y x2 18 x 75 4 y 3×2 12 x 10 Graph each equation. Any point on the parabola is present equidistant from the focus and fixed straight line known as the directrix. Practice 5-2 Properties of Parabolas LT 5 I can graph quadratic functions in standard form using properties of quadratics.
Conics worksheet 3 hyperbolas answers Conic sections are a subsection of the bigger topic of analytic geometry We conclude the chapter with a project that further explores the various conic sections we have studied. +16y=O (0) FOCUS Directrix Axis of Symmetry -g FOCUS Directrix Worksheet by Kuta Software LLC-4-16) y = -x2
File Type PDF Conic Sections Worksheet With ⋯Math High school geometry Conic sections Focus and directrix of a parabola. Parabola focus & directrix review. CCSS.Math: HSG.GPE.A.2. Review your knowledge of the focus and directrix of parabolas. Google Classroom Facebook Twitter. Email. Focus and directrix of a parabola. Intro to focus & directrix.
8.2 Parabola Practice Worksheet #4-10Finding The Focus and Directrix of a Parabola Notes 10-2 Parabolas •┠∂ Find the Equation of a Parabola from a Graph with an Easy Walkthrough Find Equation of Parabolas, Vertex, Focus, and Directrix (Extra solved Questions)77Alg2H Chapter 10-2 Parabolas part 1 Ch 10 2 parabola 10 2 graphing Page 1/7
Vertex Form Of A Parabola Worksheet 1/7 Download Vertex Form Of A Parabola Worksheet Standard and vertex form of the equation of parabola and The vertex form of a parabola's equation is generally expressed as: y = a(x-h) 2 +k (h,k) is the vertex as you can see in the picture below. If a is positive then the parabola opens upwards like a regular ...
These multiplication worksheets are appropriate for kindergarten 1st grade 2nd grade 3rd grade 4th grade and 5th grade. These worksheets that multiply one and two digit numbers with regrouping are perfect for Grade 1 and higher grades. Grade 1 multiplication worksheets will help students gain practice in solving multiplication problems.
Quiz & Worksheet - Constructing Inscribed and Circumscribed Figures Quiz & Worksheet - Linear Combinations Quiz & Worksheet - Calculating the Equation of a Parabola from the Focus and Directrix
If every point on a parabola is at an equal distance from the focus and the directrix, we can find points on the graph by folding the wax paper so that the directrix and the focus intersect one another. The crease will be half-way between the focus and the directrix. Thus, that point must be at an equal distance from both.
The fixed point is called the focus and is denoted by S, the constant ratio 'e' as the eccentricity, and the fixed line is called as directrix (d) of the ellipse. Ellipse Definition An ellipse is the locus of points in a plane, the sum of whose distances from two fixed points is a constant value.
6th Grade Vocabulary Worksheets for July 2021 Worksheets Free Sixth grade is the first full year of elementary school for students of all ages. Math Worksheets Dynamically Created Math Worksheets 196016. Math for Week of August 2. Math Worksheets Workbooks for Sixth Grade. 6th Grade Science Matter Crossword.
Quiz & Worksheet - Calculating the Equation of a Parabola from the Focus and Directrix. 12K. Geometry. Quiz & Worksheet - Finding the Perimeter of Polygons. 12K. Geometry.
"Algebra" derives from the first word of the famous text composed by Al-Khwarizmi.The name of this book is Al-Jabr wa'l muqabalah.Al-Khwarizmi also wrote a treatise on Hindu-Arabic numerals.
Mintzberg 1994 describes planning as the effort to formalizing decision-making activities through decomposition articulation and. Project Planning Activities Grouped by PMBOK Knowledge Area. Download Scientific Diagram Pmbok 5 Th Edition S Processes Table 1 From Publication Proposition Of A Hybrid Method In 2021 Pmbok Project Management Change Control The Project Planning phase touches the ...
-2- Worksheet by Kuta Software LLC Identify the vertex, focus, axis of symmetry, directrix, direction of opening, min/max value, length of the latus rectum, and the x- and y-intercepts of each.
Oct 08, 2021 · Roots are known as the minimum unit of text expressing meaning, and affixes are an addition to a word that alters its meaning. Explore the use of both roots and affixes in deciphering the meaning ...
>Given (3,-1) (-3,-4) and (-13,-5) the points of a lazy parabola (one that is on it's side). It is a little turned around also, it is not sure if it should heat left or right. Find all of the following: >Equation >Vertex >Focus >Directrix Sorry for the bad wording, I wrote word for word what he (my teacher) gave us on the worksheet. **I just need help finding the equation, I can find everything else from that.** Also, in my class my teacher wants us to use the equation X=(y-k)^2...
Parabolas focus directrix worksheets includes math lessons 2 practice sheets homework sheet and a quiz. The fixed point is called the focus of a parabola. Find directrix write and equation lost. In this parabola worksheet students find the vertex focus and directrix of a given parabola and graph the equation. They write equations for a graphed.
10.5 Parabolas Worksheet. Match each equation with its graph. ... Identify the vertex, focus and directrix of the parabola. Graph the parabola.
We canı derive the equation of a parabola that opens up or down with vertex (0,0), focus. (0,p), and directrix y = -p usin the distance formula. -. --. HD. -.-.
Domain And Range Worksheet 1 Worksheets, Solving . Graphing Quadratics in Standard Form and Vertex Form . Drawing Polynomial Graphs Advanced math Pinterest . Vertex Form Quadratic Functions Identify the vertex . Parabola Equations and Graphs, Directrix and Focus and How . Foldable Graphing Parabolas from Factored Form (INB
Conics worksheet 3 hyperbolas answers Math · High school geometry · Conic sections · Focus and directrix of a parabola. Parabola focus & directrix review. CCSS.Math: HSG.GPE.A.2. Review your knowledge of the focus and directrix of parabolas. Google Classroom Facebook Twitter. Email. Focus and directrix of a parabola. Intro to focus & directrix.
Day 5 Writing the equation of a parabola given the focus, directrix, ... sites.google.com/a/kellenberg.org/mr-casalinuovo/trimester-2/regression/worksheets.
Conics worksheet 3 hyperbolas answers Math High school geometry Conic sections Focus and directrix of a parabola. Focus and directrix of a parabola. Intro to focus & directrix. Equation of a parabola from focus & directrix. Practice: Equation of a parabola from focus & directrix. Parabola focus & directrix review. This is the currently selected ...
Focus And Directrix Practice Problems Worksheet. Online, you can locate a selection of abc worksheets. There's a worksheet for every child's skill level. Download and install abc worksheets for an enjoyable made to inform your youngster the ABCs. After that compose the letters outside.
Caption reads, "Children Enjoy a Halloween Party at the Lewis Center. Photograph Taken for the Bureau of Recreation." Original black and white photograph by Pittsburgh City Photographer. Taken October 29th, 1925, Pittsburgh, Pennsylvania, United States (University of Pittsburgh). Remastered by Jordan J. Lloyd (@unseenhistories). The original scan can be found at the University of Pittsburgh, Pittsburgh City Photographer Collection â² https://historicpittsburgh.org/islandora/object/pitt%3A715.25948.CP â See it on Unseen Histories at â² https://www.unseenhistories.com/a-public-domain-halloween
Quiz & Worksheet - The Oresteia by Aeschylus Quiz & Worksheet - Types of Volcanic Hazards & Prevention Strategies Quiz & Worksheet - The Focus and Directrix of a Parabola
Parabola Worksheet. Name. Graph the following equations. Identify the vertex, focus, directrix, and axis of symmetry. 1. (x + 4) = 8(y-2).
This worksheet has students graph 9 different equations that include a combination of transformations of the parent functions given below without using a calculator write an equation given a description of translations and write an equation given a graph of a translated function. Write down the general vertex form of a quadratic equation.
0 Response to "41 focus and directrix worksheet"
Post a Comment