43 vector addition worksheet with answers
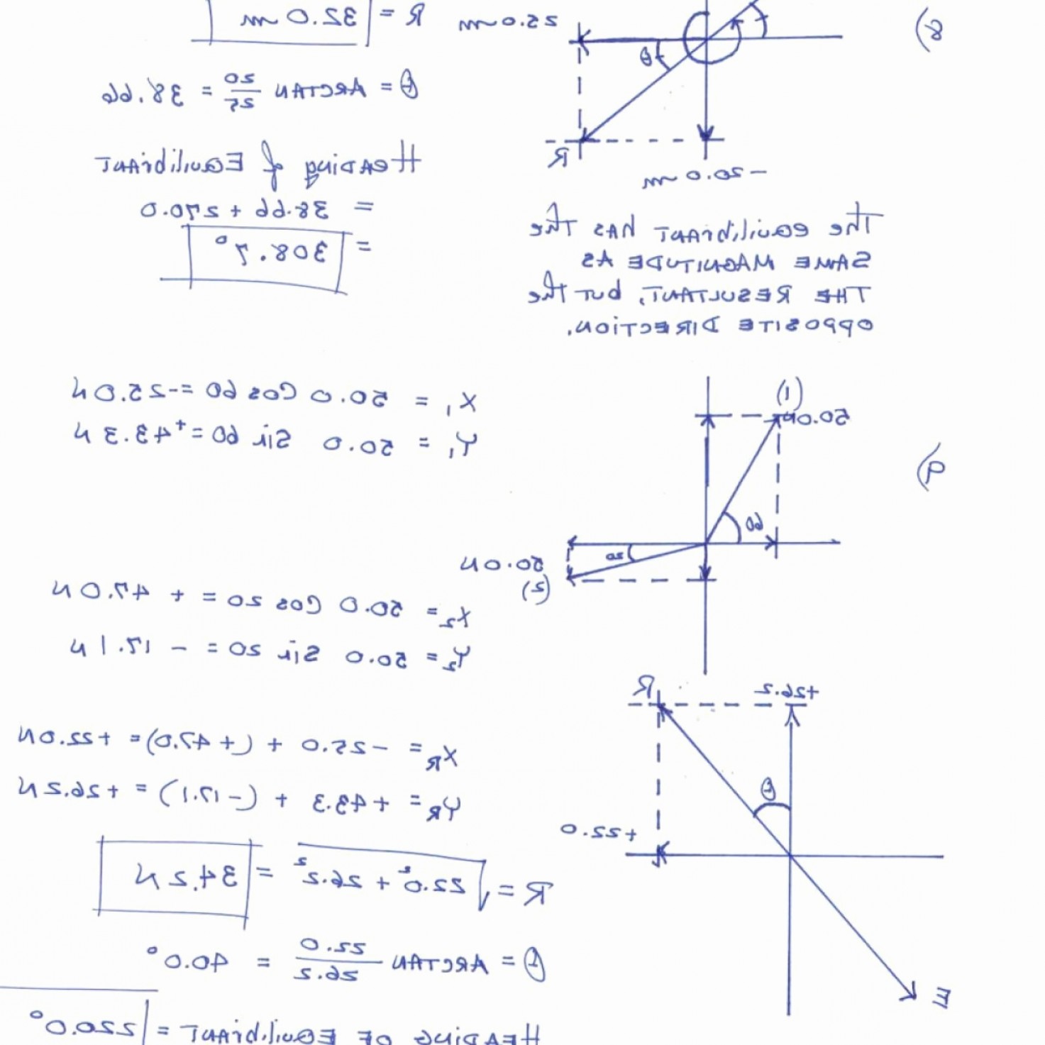
Answers: 19.5° 24.4° 26.6° 6.8° 32.0° 61.7° PHYSICS WORKSHEET A MATHEMATICAL VECTOR ADDITION NAME: _____ DATE: _____ Add or subtract the following pairs of vectors mathematically. Make a sketch for each problem. Write your answers on the blank lines on this page. ... vector-addition; vector-components; vector-multiplication … Vector Resolution and Components. discuss ion; summary; practice; problems; resources; Practice practice problem 1. A laser beam is aimed 15.95° above the horizontal at a mirror 11,648 m away. It glances off the mirror and continues for an additional 8570. m at 11.44° above the horizon until it hits its target. …
In mathematics, the degree of a polynomial is the highest of the degrees of the polynomial's monomials (individual terms) with non-zero coefficients. The degree of a term is the sum of the exponents of the variables that appear in it, and thus is a non-negative integer.For a univariate polynomial, the degree of the polynomial is simply the highest exponent occurring in the …

Vector addition worksheet with answers
Vector Addition And Subtraction Worksheets With Answers Pdf by Amanda on December 10, 2021 This web page is designed to provide some additional practice with the use of scaled vector diagrams for the addition of two or more vectors. Printable Vector Addition Worksheets With Answers are a convenient way to help students learn Addition skills. They also provide a good opportunity for students to practice their skills. These printable Addition worksheets are great for teachers as well as parents who want to use them at home with their children. Vector addition practice worksheet with answers. Adding vectors geometrically requires certain steps. R a b. Every step of the way from concept to creation is the same with an answer sheet so you want to ensure that you take a moment to review them one by one. 19 5 24 4 26 6 6 8 32 0 61 7 physics worksheet a mathematical vector addition name.
Vector addition worksheet with answers. ment vector, d, shown inFigure 4-2,is the same. This displacement vector is called a resultant vector. A resultant is a vector that is equal to the sum of two or more vectors. In this section, you will learn two methods of adding vectors to find the resultant vector. Graphical Addition of Vectors The magnitude of vector is the size of a vector often representing force or velocity. The direction of a vector is an angle measurement where 0° is to the right on the horizontal. I. Model Problems In the following problem you will learn to show vector addition using the tail-to-tip method. Find . Translate v. Slide v along u so that the tail Name _____ Vector Addition Worksheet Directions: Graphically add each pair of vectors shown below in its box, making sure to show the vector addition as well as the resultant with a dotted line and arrowhead. If there is no resultant, write "no R". Example: R Solutions to physics i h vector components worksheet vector components worksheet 1. Vectors are a type of number. Vector addition is one of the most common vector operations that a student of physics must master. Right 0 up 90 left 180 down 270 etc. Measure its length in centimeters and direction angle in standard form i e.
Vector Addition Worksheet 1 Answer Key - Addition Worksheets help college students find out a new concept and perform addition activities. Worksheets are available to suit the needs of each student. Students learn the important expertise of addition via follow, observation, and online games. Vector addition and subtraction worksheet with answers. The subtraction of vector b from vector a is then simply defined to be the addition of b to a. A b a b this is analogous to the subtraction of scalars where for example 5 2 5 2. Given that find the sum of the vectors. Answer questions on negative vectors and interpret vector a minus vector b. Name _____ Vector Addition Worksheet Directions: Graphically add each pair of vectors shown below in its box, making sure to show the vector addition as well as the resultant with a dotted line and arrowhead. If there is no resultant, write "no R". Example: R R R R R R 13.03.2015 · Worksheet Answers Answers: Practice Questions and Textbook Exercises. 1. 2D shapes: names Practice Questions answers Textbook answers. 2. 2D shapes: quadrilaterals Practice Questions answers Textbook answers. 3. 3D shapes: names Practice Questions answers Textbook answers. 4. 3D shapes: nets Practice Questions answers Textbook …
Vector addition worksheet answers together with cause and effect worksheets for kindergarten image collectio. Model problems in the following problem you will learn to show vector addition using the tail to tip method. 1 7 21 m 33 7on of e or 56 3oe of n 2 1 m s 3 64 0 m s. The Physics Classroom serves students, teachers and classrooms by providing classroom-ready resources that utilize an easy-to-understand language that makes learning interactive and multi-dimensional. Written by teachers for teachers and students, The Physics Classroom provides a wealth of resources that meets the varied needs of both students and teachers. Vector addition worksheet 1 answer key. 1 7 21 m 33 7o n of e or 56 3o e of n 2 1 m s 3 64 0 m s 38 7o n of w or 51 3o w of n 4 472 cm 39 4o s of w or. The direction of a vector is an angle measurement where 0 is to the right on the horizontal. Part v find the angle measurements between the resultant vector and force vector when two forces are ... Follow the step-by-step instructions below to eSign your physics vector addition worksheet answer key: Select the document you want to sign and click Upload. Choose My Signature. Decide on what kind of eSignature to create. There are three variants; a typed, drawn or uploaded signature. Create your eSignature and click Ok. Press Done.
Vector addition worksheet with answers. Add or subtract the following pairs of vectors mathematically. Vector components and vector addition worksheet find the components of the vectors. The magnitude of vector is the size of a vector often representing force or velocity. Vectors are shown in bold. Answers on the back.
Newsletter sign up. Take A Sneak Peak At The Movies Coming Out This Week (8/12) Why Your New Year’s Resolution Should Be To Go To The Movies More
Vectors Worksheet.docx - 980 kB. Download all files as a compressed .zip. Title. Vector Addition Worksheet. Description. In this Worksheet students will be able to learn about the Nature of vectors, distinguishing between a scalar and a vector, distinguishing between Displacement and Distance, how adding two vectors is done and how to calculate ...
Vector addition worksheet answers together with cause and effect worksheets for kindergarten image collectio. The three vectors are collinear and the net displacement. Find the sum of any two vectors. Draw these three vectors A 55. 195 244 266 68 320 617 PHYSICS WORKSHEET A MATHEMATICAL VECTOR ADDITION NAME.
Vector Addition. This web page is designed to provide some additional practice with the use of scaled vector diagrams for the addition of two or more vectors. Your time will be best spent if you read each practice problem carefully, attempt to solve the problem with a scaled vector diagram, and then check your answer.
Vector Addition Worksheet Answer Key - "Fill during the Blank" worksheets, or "Closed Worksheets," are an additional expression for Cloze worksheets. The reader is tasked with filling in the blanks within a penned piece or sentence. Closed-captioned quizzes and pursuits demand from customers a thorough understanding of both context and language.
Vector addition worksheet with answers. The direction of a vector is an angle measurement where 0 is to the right on the horizontal. Find the sum of any two vectors. Vector addition and subtraction. Name vector addition worksheet directions. They are used all through out the worksheet in different problems. That would be a good answer too.
This folder contains :Guided student notes for vector addition and 3 examples along with worked through answer keys if needed. An excel file that randomly generates 4 different worksheets of vector addition along with the resultant vector. answer This is a great resource for students needing extra t
The Physics Classroom serves students, teachers and classrooms by providing classroom-ready resources that utilize an easy-to-understand language that makes learning interactive and multi-dimensional. Written by teachers for teachers and students, The Physics Classroom provides a wealth of resources that meets the varied needs of both students and teachers.
4 describe a vector s two main features. You will need to add and subtract vectors. Vector Worksheet Pdf With Key Focuses On Resultant Vectors 25 Problems Persuasive Writing Prompts Addition Worksheets Algebra Worksheets . 35 m s at 57q from the x axis. Vectors worksheet with answers. Find the supplementary angle to find an angle of the triangle.
Vector Components and Vector Addition Worksheet 30° 28° Find the components of the vectors. Find the sum of any two vectors. Answers on the back. H=10 m G=35 m F=23 m E=30 m D=25 m C=18 m B=20 mA=15 m 59° 307° 25° 224° 39° 124°
September 4, 2021. August 13, 2021 By. admin. Vector Addition Worksheet With Answers. Allowed in order to my website, in this time We'll show you regarding Vector Addition Worksheet With Answers. What about image earlier mentioned? is of which incredible???. if you believe so, I'l m provide you with a number of photograph all over again ...
Our printable 11th grade math worksheets cover topics taught in algebra 2, trigonometry and pre-calculus, and they're perfect for standardized test review!
Vector Addition Reminders • Vectors are drawn as arrows • Always combine vectors tail to head • You can move a vector so long as you don't change its magnitude or direction • The resultant is drawn from the tail of the first vector to the head of the last vector • The angle you are looking at is the angle
Vector addition worksheet answers together with cause and effect worksheets for kindergarten image collectio. Always draw your vectors as arrows with the point in the direction that the vector is going. Ad Looking for addition worksheets. Vector v has a magnitude of 18 and a direction of 70.
Vector addition worksheet. Vectors are a type of number. Vector addition is one of the most common vector operations that a student of physics must master. 1 6 miles north and 13 miles west. A 35 00 km at 25o n of e b 15 0 km at 10 0o e of n. And so forth until all vectors have been added. For each problem make a rough sketch and show all work.
Mr alexander physics vector addition worksheet 1 answers. 16 use trig to calculate a vector s direction. 1 7 21 m 33 7o n of e or 56 3o e of n 2 1 m s 3 64 0 m s 38 7o n of w or 51 3o w of n 4 472 cm 39 4o s of w or. These two sums are then added and the magnitude and direction of the resultant is determined using the pythagorean theorem and ...
Vector addition worksheet on a separate piece of paper use the following individual vectors to graphically find the resultant vector in the first three problems. Vector addition worksheet. 25 m s part i. A 35 00 km at 25o n of e b 15 0 km at 10 0o e of n. And so forth until all vectors have been added.
Vector addition practice worksheet with answers. Adding vectors geometrically requires certain steps. R a b. Every step of the way from concept to creation is the same with an answer sheet so you want to ensure that you take a moment to review them one by one. 19 5 24 4 26 6 6 8 32 0 61 7 physics worksheet a mathematical vector addition name.
Printable Vector Addition Worksheets With Answers are a convenient way to help students learn Addition skills. They also provide a good opportunity for students to practice their skills. These printable Addition worksheets are great for teachers as well as parents who want to use them at home with their children.
Vector Addition And Subtraction Worksheets With Answers Pdf by Amanda on December 10, 2021 This web page is designed to provide some additional practice with the use of scaled vector diagrams for the addition of two or more vectors.
0 Response to "43 vector addition worksheet with answers"
Post a Comment